Consensus
Consensus in a decentralized system is not just a process but a cornerstone of the system. Its mechanism guarantees a consistent and secure blockchain among all participants and ensures the system's integrity and reliability. Consensus ensures that transactions are consistently and securely validated and added to the blockchain. It's a critical element for effectively thwarting attempts by malicious actors to manipulate the network or its data. Opera uses Asynchronous Byzantine Fault Tolerance in combination with directed acyclic graphs to achieve consensus.
Practical Byzantine Fault Tolerance
Practical Byzantine Fault Tolerance (PBFT) is a consensus mechanism designed to enable decentralized systems to function correctly in the presence of malicious or faulty nodes. It is named after the Byzantine generals’ problem, which is an idea that illustrates the difficulties of achieving consensus in a decentralized system when some of the participants may be acting in bad faith.

In a PBFT system, nodes in a network communicate with each other to reach a consensus on the system's state, even when malicious actors are involved. To achieve this, they send messages back and forth that contain information about the system's state and the actions they propose.
Each node verifies the message it receives, and if it determines the message is valid, it sends a message to all the other nodes to indicate its agreement. In the context of cryptocurrencies, the message with which all nodes must agree is the blockchain, a ledger that stores a history of transactions.
Before the invention of cryptocurrencies, the major flaw with PBFT systems was their susceptibility to Sybil attacks. If an attacker controlled a sufficient number of nodes, they could control the entire system; there needed to be a deterrent to launch many nodes. Bitcoin first solved this problem with proof-of-work, forcing nodes to invest considerable energy to partake in the consensus.
Since then, many new solutions have been developed, such as proof-of-stake, which forces nodes to deposit tokens with monetary value, which Opera uses.
Hence, Practical Byzantine Fault Tolerance (PBFT) is a mechanism to achieve consensus. It forms a functioning decentralized system when coupled with proof-of-work or proof-of-stake to deter participants from messing with the network. However, Opera has decided to innovate on this mechanism by using Asynchronous Byzantine Fault Tolerance.
Asynchronous Byzantine Fault Tolerance
With Asynchronous Byzantine Fault Tolerance (ABFT), nodes can reach consensus independently and are not required to exchange final blocks sequentially to confirm transactions. At the same time, they exchange blocks, which is required to achieve consensus, and this is done asynchronously. Each node verifies transactions independently and is not required to incorporate blocks created by other miners or validators in sequential order.
This is opposed to PBFT systems, such as Bitcoin, in which the majority of nodes must agree to a block before it becomes final, which they must then sequentially order into their blockchain record. This slows down the network during high traffic; more on this in the consensus mechanism section further below.
Now that we have a basic understanding of Byzantine fault tolerance, let’s delve into the second part of Opera’s consensus mechanism, directed acyclic graphs.
Directed Acyclic Graphs
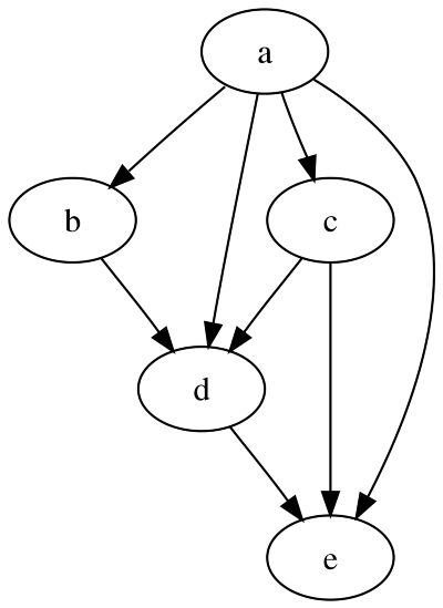
A graph is a non-linear data structure used to represent objects, called vertices, and the connections between them, called edges. A directed graph dictates that all its edges, the connections between objects, only flow in a certain direction. An acyclic graph does not contain any cycles, which makes it impossible to follow a sequence of edges and return to the starting point. As such, a directed acyclic graph (DAG) only flows in a certain direction and never repeats or cycles.
The diagram below is an example of a directed acyclic graph. Each oval is a vertex, and the lines connecting them are edges. The vertices only connect in one direction, downwards, and never repeat.

In our consensus algorithm, an event containing transactions is represented by a vertex in a DAG, and edges represent the relationships between the events. The edges may represent the dependencies between events indicating the order in which they were added to the DAG.
Events can be created and added to the DAG concurrently. The blocks do not need to be added in a specific order, which enables the system to achieve faster transaction times. It is not limited by the requirement to incorporate blocks sequentially, as is the case with many of the biggest blockchains currently available.
Opera's Consensus Mechanism
Opera uses a proof-of-stake, DAG-based, ABFT consensus mechanism. In this mechanism, each validator has its own local block DAG and batches incoming transactions into event blocks, which they add to their DAG as vertices — each event block is a vertex in the validator’s DAG that is full of transactions.

Before creating a new event block, a validator must first validate all transactions in its current event block and part of the ones it has received from other nodes; these are the event blocks it has received during the asynchronous exchange of event blocks explained in the section above. The new event block then is communicated with other nodes through the same asynchronous event communication.
During this communication, nodes share their own event blocks, and the ones they received from other nodes, with other validators that incorporate them in their own local DAGs. Consequently, this spreads all information through the network. The process is asynchronous as the event blocks shared between validators are not required to be sequential.
Unlike most blockchains, this DAG-based approach does not force validators to work on the current block that is being produced, which places restrictions on transaction speed and finality. Validators are free to create their own event blocks that contain transactions and share these with other validators on the network asynchronously, creating a non-linear record of transactions. This increases transaction speed and efficiency.
As an event block is sent and propagated across validators, it becomes a root event block once the majority of validators have received and agreed upon it. This root event block will eventually be ordered and included in the main chain, which is a blockchain that contains the final consensus among all event blocks that have become root event blocks.
Every validator stores and updates a copy of the main chain, which provides quick access to previous transaction history to process new event blocks more efficiently. As such, Opera's consensus mechanism combines a DAG-based approach that allows validators to confirm transactions asynchronously, which greatly increases speed, with a final blockchain that orders and stores all final transactions immutably and indefinitely.
Currently, the process of submitting a transaction and having it added to the Opera main chain through the consensus mechanism takes approximately 1-2 seconds. This involves the following steps:
A user submits a transaction
A validator node batches the transaction into a new event block
The event block becomes a root event block once the majority of nodes have received it
The root event block is ordered and finalized into the main chain as a block
When a user explores Opera through a block explorer, they view the final blocks on the Opera main chain. Event block generation and exchange in validators' DAGs is an internal process only and is not visible to end users.
For a more technical understanding of Opera's consensus mechanism, read Lachesis: Scalable Asynchronous BFT on DAG Streams.
